Les différentes techniques d'intégration
et de calcul de primitives
50 exercices corrigés de niveau BAC à BAC+2
+ 50 exercices supplémentaires pour vous entraîner
= plus de 100 exercices sur les primitives et les intégrales !
Introduction
Ce recueil de plus de 50 exercices corrigés a pour but d'illustrer les différentes techniques d'intégration et de calcul de primitives, en allant des plus classiques (consultation de la table des primitives, intégration par parties, changement de variables, etc.) jusqu'aux techniques les plus originales (décomposition en éléments simples, utilisation des nombres complexes, emploi des fonctions trigonométriques hyperboliques directes et réciproques, etc.). Chaque paragraphe de cette page est illustré par des exemples concrets et détaillés de calcul de primitives et d'intégrales définies. La plupart des intégrales exposées ici sont généralement tirées de sujets d'interrogations écrites (devoir maison ou devoir surveillé) ou de sujets d'examens.
Comme pour tous les articles mathématiques du site Gecif.net la vulgarisation mathématique permet ici d'expliquer avec des mots et des notions simples (de niveau BAC) des résultats qui demandent en principe un niveau bien supérieur. Le calcul de dérivées doit être parfaitement maîtrisé avant de vouloir effectuer un calcul intégral.
NOUVEAU ! Trouvez rapidement une intégrale particulière grâce au moteur de recherche d'intégrales !
Sommaire de cette page
|
NOUVEAU : Version PDF à imprimer avec de nombreux autres exemples d'intégrales !
Consultation de la table des primitives
Il ne faut pas croire que la consultation de la table des primitives est réservée seulement au calcul des intégrales de fonctions simples et usuelles. Tout dépend en fait de la "richesse" de votre "table des primitives". Si vous vous êtes confectionné une table des primitives contenant les dérivées et primitives de fonctions complexes vous pouvez rapidement calculer une intégrale compliquée par simple consultation de votre table.
De plus une table des primitives se lit dans les deux sens : table des primitives dans un sens et table des dérivées dans l'autre sens. En d'autres termes, si vous possédez déjà une table des dérivées elle peut vous donner des informations précieuses pour la recherche de primitives. En effet, la recherche d'une primitive consiste entre autre à "reconnaître" une dérivée.
Voici un extrait d'une table des primitives. Cette table ne contient pas les primitives des fonctions usuelles (que je considère connues), mais contient quelques fonctions ou relations avancées et bien utiles pour le calcul intégral :
| |
|
| |
|
|
|
|
|
|
|
|
|
|
|
|
|
|
|
|
|
elles constituent 24 nouvelles primitives "prêtes à l'emploi" ! |
|
NOUVEAU ! Trouvez rapidement une intégrale particulière grâce au moteur de recherche d'intégrales !
Illustrons l'emploi de cette table des primitives à travers les exemples suivants.
Exemple 1 : quelle est la primitive de la fonction suivante ?
Il est inutile ici de transformer les expressions trigonométriques ou de les linéariser.
En effet il suffit de remarquer que cette primitive est de la forme :
En consultant la table des primitives on en déduit instantanément que :
Exemple 2 : quelle est la primitive de la fonction suivante ?
Il est encore inutile ici de transformer les expressions trigonométriques ou de linéariser.
En effet cette primitive est de la forme :
En consultant la table des primitives on en déduit instantanément que :
Exemple 3 : on veut maintenant calculer la valeur exacte de l'intégrale suivante :
A première vue cette intégrale est compliquée et nécessiterait au moins un changement de variable. Mais en regardant de près la table des primitives ci-dessus on s'aperçoit que la fonction présente dans cette intégrale n'est autre que la dérivée de argcosech(x) (au signe près).
La primitive suivante est donc parfaitement connue :
Or la fonction cosécante hyperbolique est l'inverse de la fonction sinus hyperbolique :
On en déduit alors la relation suivante entre leur fonction réciproque (fonction réciproque de l'inverse d'une fonction) :
En partant de la définition suivante pour la fonction sinus hyperbolique de x :
On peut en déduire la relation suivante concernant sa fonction réciproque :
Nous pouvons donc écrire (pour x non nul) :
Et le calcul de notre intégrale I devient simplement :
On en déduit le résultat final suivant :
Remarque : la consultation de la table des primitives a dirigé le calcul de l'intégrale I vers un travail de manipulation des fonctions trigonométriques hyperboliques directes et réciproques, travail qui a remplacé une intégration par changement de variable suivie d'une décomposition en éléments simples.
NOUVEAU ! Trouvez rapidement une intégrale particulière grâce au moteur de recherche d'intégrales !
Exemple 4 : quelle est la primitive de la fonction suivante ?
Il est inutile ici de partir dans une décomposition en éléments simples, une factorisation ou un changement de variable.
En effet cette primitive est simplement de la forme :
En consultant la table des primitives on en déduit instantanément que :
NOUVEAU : Calculez vos intégrales en ligne grâce au calculateur de primitives de Gecif.net !
Exemple 5 : quelle est la primitive de la fonction suivante ?
Avant de partir dans une décomposition en éléments simples posons nous la question suivante : peut-on mettre cette fonction sous la forme de la dérivée de (arctan(x+b)/a)/a ? En effet, en consultant la table des primitives on sait que :
Effectuons donc la transformation suivante :
a et b sont deux constantes réelles qu'il nous faut déterminer.
Mais attention : avant de vouloir identifier les coefficients des deux fractions il faut que leur numérateur et dénominateur soient "similaires". Il faut donc se mettre dans les conditions de l'égalité, c'est-à-dire que tous les coefficients qui ne contiennent ni a ni b soient égaux. C'est le cas du coefficient du monôme de plus haut degré du dénominateur, ainsi que de la constante du numérateur.
La réelle transformation à effectuer est alors la suivante :
Développons le dénominateur du membre de droite :
Identifions les coefficients des dénominateurs pour déterminer la valeur de a et de b :
On obtient alors l'égalité suivante :
On peut donc écrire que :
Et on en déduit la primitive recherchée :
Exemple 6 : quelle est la primitive de la fonction suivante ?
Il est inutile ici de partir dans une linéarisation.
En effet cette primitive est simplement de la forme :
En consultant la table des primitives on en déduit instantanément et sans linéariser que :
Exemple 7 : quelle est la primitive de la fonction suivante ?
La fonction à intégrer n'est ni une fraction rationnelle en x, ni une fraction rationnelle en sin(x) et cos(x), ni de la forme u'/un. Il s'agit à première vue d'une fonction compliquée. Le réflexe naturel consisterait alors à décomposer l'intégrale en deux :
Mais voilà une décomposition qui n'a en rien simplifié le travail : les deux intégrales que l'on obtient ne sont pas simples (et même impossible) à calculer. Mais alors comment s'y prendre ??
En fait il suffisait de reconnaître que la fonction à intégrer est de la forme suivante :
Avec :
Et en utilisant la dérivée du quotient de deux fonctions u et v on sait que :
On en déduit alors directement la primitive recherchée :
NOUVEAU : Révisez les dérivées et les primitives en vous amusant grâce au QCM de Gecif.net !
Exemple 8 : quelle est la primitive de la fonction suivante ?
Il est encore inutile de partir dans un changement de variable ou une décomposition quelconque. Posons-nous la question suivante : la fonction à intégrer n'est-elle pas de la forme de la dérivée d'un quotient rappelée ci-dessous ?
La réponse est OUI, vous avez trouvé ? Combien vaut u et combien vaut v ?
Voici la solution :
Avec :
Et on en déduit instantanément la primitive recherchée :
Exemple 9 : quelle est la primitive de la fonction suivante ?
Il s'agit ici d'intégrer une fraction rationnelle en x. Cette fraction n'étant pas de la forme u'/un une décomposition en éléments simples semble être la seule solution pour l'intégrer. Mais avant de partir dans une décomposition en éléments simples posons-nous la question suivante : la fraction rationnelle à intégrer n'est-elle pas simplement de la forme de la dérivée d'un quotient de deux fonctions u et v rappelée ci-dessous ?
La réponse est OUI, vous avez trouvé ? Combien vaut u et combien vaut v ?
Voici la solution :
On en déduit alors directement la primitive recherchée sans effectuer de décomposition en éléments simples :
Exemple 10 : quelle est la primitive de la fonction suivante ?
Il est encore inutile de transformer la fonction à intégrer, de partir dans un changement de variable, de tenter une intégration par parties ou autre, dans tous les cas on tournerait en rond. Pour ne pas tourner en rond il suffit de remarquer que la fonction à intégrer est encore de la forme suivante :
Avec cette fois :
On en déduit alors instantanément la primitive recherchée :
A retenir : dans le cas de l'intégration d'une fraction, si on ne reconnait pas une dérivée immédiatement ou une forme simple comme u'/un, ne pas oublier en dernier recourt de la comparer à (u'.v-u.v')/v² avant de partir dans une décomposition en éléments simples ou un changement de variable.
NOUVEAU : Calculez vos intégrales en ligne grâce au calculateur de primitives de Gecif.net !
L'intégration par parties
Rappel : l'intégration par parties ne fait qu'utiliser la dérivée d'un produit ( (u.v)'=u'.v+u.v' ) tout comme les exemples 7 à 10 précédents ont utilisé la dérivée d'un quotient ( (u/v)'=(u'.v-u.v')/v² ).
Une page entière du site Gecif.net est consacrée au principe de l'intégration par parties.
Voyons ici quelques exemples complémentaires à ceux exposés dans l'article sur l'IPP (Intégration Par Parties) :
Exemple 1 : quelle est la primitive de la fonction suivante ?
On choisit u' et v :
On en déduit u (la primitive de u') et v' (la dérivée de v) :
Rappel de la formule de l'intégration par parties :
Et en appliquant la formule de l'intégration par parties on obtient :
Remarque : 1+x2 est forcément positif, d'où l'absence du symbole de valeur absolue dans le logarithme népérien.
En procédant de la même manière il est possible de retrouver les primitives des fonctions arccotan(x), argtanh(x) et argcotanh(x) par intégration par parties.
NOUVEAU ! Trouvez rapidement une intégrale particulière grâce au moteur de recherche d'intégrales !
Exemple 2 : quelle est la primitive de la fonction suivante ?
On choisit u' et v :
On en déduit u et v' :
Rappel de la formule de l'intégration par parties :
Et en appliquant la formule de l'intégration par parties on obtient :
En procédant de la même manière il est possible de retrouver les primitives des fonctions arccos(x), argsinh(x) et argcosh(x) par intégration par parties.
NOUVEAU : Version PDF à imprimer avec de nombreux autres exemples d'intégrales !
Le changement de variable
Une page entière du site Gecif.net est consacrée au calcul l'intégrales par changement de variable.
Nous allons voir ici le calcul de primitives par changement de variable.
Le changement de variable est une des techniques d'intégration les plus puissantes. Nous allons illustrer les possibilités du changement de variable à travers 12 exemples concrets, divers et variés de calcul de primitives.
Sans vouloir donner de recettes toutes faites ou de règles trop rigides, rappelons tout de même que le changement de variable est particulièrement efficace pour le calcul de la primitive d'une fonction composée (par exemple une primitive contenant une racine carrée).
Par exemple pour rechercher la primitive de la fonction composée f(g(x)) on pose souvent le changement de variable u=g(x), mais ce n'est pas systématique comme nous allons le voir dans les exemples ci-dessous.
De plus, même dans le cas du calcul de la primitive d'une fonction composée des alternatives au changement de variable existent.
Avec le changement de variable, l'élément différentiel de l'intégrale (le fameux "dx") va enfin prendre un rôle et une importance. En effet, dans toutes les autres techniques d'intégration le dx ne sert à rien et peut être totalement ignoré. Mais ici le changement de variable passe directement par cet élément dx, qui constitue le coeur de la transformation de l'intégrale.
Rappelons que le rapport du/dx représente la dérivée de la fonction u(x) par rapport à la variable x : du/dx=u'(x)
En multipliant les deux membres de l'égalité précédente par dx, on obtient aussi : du=u'(x).dx
Dans le changement de variable les éléments différentiels du et dx se manipulent comme toute autre variable réelle dans les équations (on peut les additionner, les multiplier, les diviser, les substituer, etc.). Et dans tous les cas il ne faut pas les perdre de vue !
Enfin il y a souvent plusieurs solutions possibles pour poser le changement de variable, les solutions exposées ici ne sont donc pas forcément uniques.
Passons à la pratique à travers plusieurs exemples de changement de variable diversifiés, clairs et détaillés suivants.
Exemple 1 : quelle est la primitive de la fonction suivante ?
On effectue le changement de variable suivant :
L'intégrale d'origine devient :
Exemple 2 : quelle est la primitive de la fonction suivante ?
On effectue le changement de variable suivant :
L'intégrale d'origine devient :
NOUVEAU ! Trouvez rapidement une intégrale particulière grâce au moteur de recherche d'intégrales !
Exemple 3 : quelle est la primitive de la fonction suivante ?
On effectue le changement de variable suivant :
L'intégrale d'origine devient :
Exemple 4 : quelle est la primitive de la fonction suivante ?
On effectue le changement de variable u(x) suivant et on en déduit sa dérivée u'(x) et sa différentielle du :
L'intégrale d'origine s'écrit :
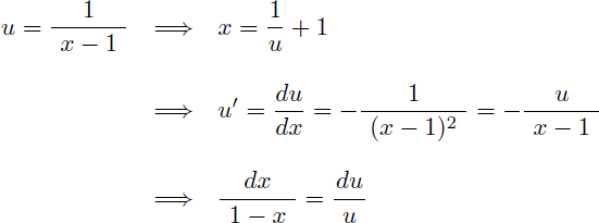
Exemple 5 : quelle est la primitive de la fonction suivante ?
On effectue le changement de variable u(x) suivant et on en déduit sa réciproque x(u), sa dérivée u'(x) et une relation entre la différentielle dx et la différentielle du :
L'intégrale d'origine devient :
Remarque : nous venons d'utiliser le fait que la cosécante hyperbolique est l'inverse du sinus hyperbolique :
ainsi que la relation entre une fonction et l'inverse de sa fonction réciproque :
De plus, la dérivée de argsinh(x) qui a été reconnue ici est donnée grâce à la table des dérivées des fonctions trigonométriques.
Enfin, on peut constater que la fonction que l'on vient d'intégrer n'est autre que la dérivée de -argcosech(x).
Cette intégrale, qui est un classique, a déjà été calculée de différentes manières sur le site Gecif.net :
Exemple 6 : quelle est la primitive de la fonction suivante ?
On effectue le changement de variable u(x) suivant et on en déduit sa réciproque x(u), sa dérivée u'(x) et une relation entre la différentielle dx et la différentielle du :
Attention, u est forcément négatif puisque :
Il en résulte que :
La conséquence est le signe "moins" qui apparaît sur la seconde ligne de la démonstration ci-dessous.
L'intégrale d'origine devient :
Exemple 7 : quelle est la primitive de la fonction suivante ?
Il s'agit ici d'intégrer une fonction composée f(g(x)), mais pour une fois nous n'allons pas faire le changement de variable u=g(x).
Remarque :
Comme x est forcément compris entre -1 et 1 on peut effectuer le changement de variable suivant :
Rappels de trigonométrie :
Avec le changement de variable l'intégrale d'origine s'écrit :
Remarque : en sachant que
on aurait pu voir l'intégrale d'origine comme étant l'intégrale de la fonction composée cos(arcsin(x)) :
Ce qui nous aurait incité à effectuer le même changement de variable, à savoir u=arcsin(x), et qui aurait conduit également à déterminer la primitive de cos2(u) comme ci-dessus.
NOUVEAU ! Trouvez rapidement une intégrale particulière grâce au moteur de recherche d'intégrales !
Exemple 8 : quelle est la primitive de la fonction suivante ?
La fonction à intégrer n'est pas de la forme u'/un ou u'.un. De plus il est inutile ici de linéariser ou de remplacer cos(x)/sin(x) par cotan(x) pour tenter une intégration par parties.
Il s'agit ici d'intégrer une fraction rationnelle en sin(x) et cos(x) : le changement de variable est la solution.
On effectue le changement de variable suivant :
L'intégrale d'origine devient :
Remarque :
Exemple 9 : quelle est la primitive de la fonction suivante ?
Bien qu'il s'agisse ici d'intégrer une fraction rationnelle, nous allons procéder à un changement de variable et non à une décomposition en éléments simples.
Nous sommes en effet en présence d'une fraction rationnelle qui ne possède qu'un seul pôle (plus précisément un pôle multiple d'ordre 3), et la décomposition en éléments simples est réservée aux fractions rationnelles possédant plusieurs pôles distincts.
Ici le seul pôle de la fraction rationnelle est 1, donc on effectue le changement de variable suivant :
u=x-1
Ce qui donne en conséquence x=u+1 et du=dx : on se ramène alors à une fraction rationnelle dont le seul pôle est zéro, c'est-à-dire une fraction que l'on sait intégrer.
L'intégrale d'origine devient :
Et on en déduit la primitive recherchée :
Les exemples suivants montrent un calcul de primitive ou d'intégrale définie par double changement de variable, c'est-à-dire en effectuant deux changements de variable successifs.
Exemple 10 : quelle est la primitive de la fonction suivante ?
On effectue un premier changement de variable :
Il vient :
On effectue un second changement de variable :
Ce qui conduit à la primitive recherchée :
Exemple 11 : quelle est la primitive de la fonction suivante ?
Bien qu'il s'agisse ici d'intégrer une fraction rationnelle, nous allons procéder à un double changement de variable et non à une décomposition en éléments simples.
On effectue un premier changement de variable :
Ce qui donne :
On effectue un second changement de variable :
Ce qui conduit à la primitive recherchée :
Exemple 12 : quelle est la primitive de la fonction suivante ?
Bien qu'il s'agisse d'intégrer un produit de deux fonctions dont les dérivées et primitives de chacune d'entres elles sont connues nous allons ici procéder à un double changement de variable et non à une intégration par parties.
Rappels de trigonométrie :
On peut déjà écrire :
On effectue un premier changement de variable :
Ce qui nous donne :
On effectue un second changement de variable :
Et on en déduit la primitive recherchée :
Cliquez ici pour voir d'autres exemples de calcul d'intégrale par changement de variable.
NOUVEAU : Calculez vos intégrales en ligne grâce au calculateur de primitives de Gecif.net !
La méthode par identification (qui n'est pas directement une technique d'intégration) est bien pratique lorsque l'on connaît la forme de la primitive recherchée. Il suffit alors de la dériver puis d'identifier les coefficients du résultat avec la fonction d'origine. La dérivation suivie de l'identification des coefficients remplacent ici une intégration et permet d'aboutir à la primitive recherchée.
La méthode par identification est en fait une alternative aux techniques d'intégration classiques.
Exemple 1 :
Les primitives des fonctions de la forme P(x).ea.x+b sont forcément de la forme Q(x).ea.x+b avec P(x) et Q(x) deux polynômes de même degré :
Recherchons par exemple la primitive de la fonction suivante par identification :
On sait que la primitive recherchée est de la forme Q(x).e3.x-5 avec Q(x) un polynôme de degré 4 à déterminer :
Remarque sur l'écriture : la lettre e seule (sans exposant) représente une constante à déterminer (comme a, b, c et d), alors que le symbole e avec un exposant représente la fonction exponentielle.
Or en dérivant la primitive on retrouve la fonction d'origine :
Dérivons la primitive :
Identifions les coefficients des deux polynômes de degré 4 :
On en déduit la primitive recherchée en ayant simplement dérivé un produit et identifié des coefficients, et sans avoir intégré ni "primitivé" la moindre fonction :
Remarque : cette technique d'intégration par identification vient de remplacer ici 4 intégrations par parties successives.
Exemple 2 :
Les primitives des fonctions de la forme P1(x).sin(a.x+b)+P2(x).cos(a.x+b) sont forcément de la forme Q1(x).sin(a.x+b)+Q2(x).cos(a.x+b) avec P1(x), P2(x), Q1(x) et Q2(x) des polynômes de degré inférieur ou égal à 2 :
Recherchons par exemple la primitive de la fonction suivante par identification :
On pourait très bien calculer séparément les deux primitives en procédant à une succession d'intégrations par parties.
Mais on peut aussi remarquer que la fonction à intégrer est de la forme P1(x).sin(3.x)+P2(x).cos(3.x), où P1(x) et P2(x) sont deux polynômes de degré inférieur ou égal à 2.
La primitive d'une telle fonction est de la forme Q1(x).sin(3.x)+Q2(x).cos(3.x), où Q1(x) et Q2(x) sont aussi deux polynômes de degré inférieur ou égal à 2 :
Appelons a, b et c les 3 coefficents du polynôme Q1(x) :
Appelons d, e et f les 3 coefficents du polynôme Q2(x) :
Or en dérivant la primitive on retrouve la fonction d'origine :
Dérivons la primitive :
Identifions les coefficients des polynômes :
On en déduit la primitive recherchée en ayant simplement identifié des coefficients et dérivé, et sans avoir intégré ni "primitivé" la moindre fonction :
Cliquez ici pour voir un autre exemple de calcul de primitive par identification.
NOUVEAU : Version PDF à imprimer avec de nombreux autres exemples d'intégrales !
La décomposition en éléments simples
Voyons ici quelques exemples complémentaires à ceux exposés dans l'article sur la D.E.S. (Décomposition en Eléments Simples).
Rappel sur les fractions rationnelles :
La décomposition en éléments simples n'est pas une technique propre au calcul intégral. Elle permet de décomposer une fraction rationnelle de la forme P(x)/Q(x), où P(x) et Q(x) sont deux polynômes en x, en somme de fractions élémentaires que l'on sait intégrer.
La décomposition en éléments simples sera donc bien utile pour trouver les primitives de la forme suivante :
Appelons R(x) la fraction rationnelle présente dans l'intégrale :
Quelques précisions sur la fraction rationnelle R(x) :
Quelques remarques élémentaires sur l'intégration de la fraction rationnelle R(x) :
Exemple 1 : quelle est la primitive de la fonction suivante ?
La décomposition en éléments simples de la fraction rationnelle s'écrit :
a et b sont deux constantes réelles qu'il nous faut déterminer.
Mettons au même dénominateur la forme décomposée :
Identifions les coefficients des numérateurs :
On trouve alors la décomposition en éléments simples suivante :
Et on en déduit la primitive recherchée :
Exemple 2 : quelle est la primitive de la fonction suivante ?
Appelons R(x) la fraction rationnelle à intégrer :
Les pôles de R(x), c'est-à-dire les racines de Q(x), sont les réels 2 et 3.
Q(x) se factorise donc ainsi :
La décomposition en éléments simples de la fraction rationnelle R(x) s'écrit :
a et b sont deux constantes réelles qu'il nous faut déterminer.
Mettons au même dénominateur la forme décomposée :
Identifions les coefficients du numérateur :
Après résolution de ce système on trouve les valeurs de a et b :
On trouve alors la décomposition en éléments simples suivante :
Et on en déduit la primitive recherchée :
Exemple 3 : quelle est la primitive de la fonction suivante ?
Comme le degré du numérateur est égal au degré du dénominateur la partie entière est une constante, et comme les coefficients des monômes de plus haut degré sont égaux, la partie entière vaut 1.
On en déduit instantanément la décomposition en éléments simples suivante :
Or on reconnaît dans cette décomposition en éléments simples la dérivée d'arctan(x) : 1/(x2+1)
On en déduit alors la primitive recherchée :
Exemple 4 : quelle est la primitive de la fonction suivante ?
Comme le degré du numérateur est égal au degré du dénominateur la partie entière est une constante, et comme les coefficients des monômes de plus haut degré sont égaux, la partie entière vaut 1.
Le résultat de la décomposition en éléments simples donne :
Or la première fraction est de la forme u'/u et la seconde fraction peut se mettre sous la forme de la dérivée d'arctan((x+b)/a))/a (voir la table des primitives ci-dessus) :
En effet, en consultant la table des primitives on sait que :
On en déduit alors la primitive recherchée :
Remarque : le polynôme x2-x+1 n'ayant pas de racines réelles, il est toujours du signe du coefficient du monôme de plus haut degré, c'est-à-dire positif. Cela explique l'absence du symbole valeur absolue dans le logarithme népérien de x2-x+1.
NOUVEAU : Version PDF à imprimer avec de nombreux autres exemples d'intégrales !
La linéarisation et ses alternatives
La linéarisation n'est pas une technique propre au calcul intégral. Elle permet d'exprimer sinn(x) ou cosm(x) (que l'on ne sait pas intégrer) en fonction de sin(k.x) et de cos(k.x) que l'on sait intégrer.
La linéarisation sera donc bien utile pour trouver les primitives de la forme suivante :
La linéarisation est obligatoire dans le cas de puissances paires, mais des alternatives existent dans le cas de puissances impaires comme nous allons le voir dans les exemples ci-dessous.
Les relations utiles pour la linéarisation et à avoir en tête avant de commencer à linéariser sont les suivantes.
Les formules d'Euler :
Le développement de (a+b)n pour les valeurs de n correspondant aux exposants des sinus et des cosinus à linéariser :
Rappel : les coefficients des n+1 termes du développement de (a+b)n se retrouvent grâce au triangle de Pascal, ou directement avec la formule du binôme de Newton.
Voyons maintenant 10 exemples concrets expliquant en détail les techniques de linéarisation et démontrant le calcul de primitives dans tous les cas possibles que vous pouvez rencontrer pour intégrer des fonctions de la forme sinn(x).cosm(x) quelques soient les valeurs entières des exposants n et m :
Exemple 1 : quelle est la primitive de la fonction suivante dans laquelle n=4 et m=0 ?
La puissance est paire donc on linéarise. Pour cela on développe la formule d'Euler élevée à la puissance 4 :

En intégrant la forme linéarisée on en déduit la primitive recherchée :
Exemple 2 : quelle est la primitive de la fonction suivante ?
La puissance est paire donc on linéarise. Pour cela on développe la formule d'Euler élevée à la puissance 6 :

En intégrant la forme linéarisée on en déduit la primitive recherchée :

Exemple 3 : quelle est la primitive de la fonction suivante ?
Les deux exposants sont pairs donc on linéarise. Pour cela on développe les formules d'Euler :

En intégrant la forme linéarisée on en déduit la primitive recherchée :

Exemple 4 : quelle est la primitive de la fonction suivante ?
On pourrait très bien linéariser, mais comme la puissance est ici impaire il existe une solution alternative à la linéarisation : on remplace sin2(x) par 1-cos2(x) :

On remarque que dans cette forme "semi-linéarisée" (ou transformée) de sin5(x) on obtient des termes de la forme u'.un (au signe près) qu'il est maintenant facile d'intégrer. Cette remarque n'est pas le fruit du hasard puisqu'il s'agissait de l'objectif à atteindre lorsque nous avons remplacé sin2(x) par 1-cos2(x).
En intégrant la nouvelle expression de sin5(x) on en déduit une primitive de sin5(x) :

Remarque : comme nous n'avons pas linéarisé sin5(x) (on l'a simplement exprimé en fonction de cos2(x) et de cos4(x)), la primitive obtenue n'est elle non plus pas linéarisée (elle contient cos3(x) et cos5(x)). Cette solution "alternative" utilisable en cas de puissances impaires ne donne donc pas les mêmes primitives que celles que l'on obtiendrait en linéarisant avec les formules d'Euler.
Exemple 5 : quelle est la primitive de la fonction suivante ?
On pourrait très bien linéariser, mais comme la puissance est ici impaire il existe une alternative : on remplace cos2(x) par 1-sin2(x) dans cos7(x) afin d'obtenir des termes de la forme u'.un que l'on sait intégrer :

Et en intégrant la nouvelle expression de cos7(x) on en déduit une primitive :
Remarque : nous obtenons bien une primitive de cos7(x) mais elle n'est pas linéarisée, puisque nous n'avons pas linéarisé cos7(x).
Exemple 6 : quelle est la primitive de la fonction suivante ?
On pourrait très bien linéariser, mais comme la puissance du sinus est impaire il existe une alternative : on effectue le changement de variable u=cos(x) dont la conséquence est :
En remplaçant dans l'intégrale d'origine :
la fonction sin3(x).cos6(x) devient alors un simple polynôme en u que l'on sait intégrer :
Exemple 7 : quelle est la primitive de la fonction suivante ?
On pourrait très bien linéariser, mais comme la puissance du cosinus est impaire il existe une alternative : on effectue le changement de variable u=sin(x) dont la conséquence est :
En remplaçant dans l'intégrale d'origine :
la fonction sin2(x).cos7(x) devient un simple polynôme en u que l'on sait intégrer :
Exemple 8 : quelle est la primitive de la fonction suivante ?
Les deux exposants étant ici impairs nous avons le choix entre les 3 méthodes vues précédemment :
Pour chacun de ces 3 cas on obtient une primitive différente (mais qui donnent toutes bien sin5(x).cos5(x) si on les dérive).
Mais afin d'enrichir la palette des techniques d'intégration je vais donner ici une nouvelle piste.
En remarquant que n et m sont ici impairs et égaux on a :
On peut alors effectuer le changement de variable u=cos(2.x) :
Et on obtient un simple polynôme en u que l'on sait intégrer :
Ce résultat n'est qu'une primitive de sin5(x).cos5(x) parmi d'autres.
Par exemple si on effectue le changement de variable u=cos(x) on trouvera que :
Remarque : les deux expressions données ici sont bien deux primitives de sin5(x).cos5(x) mais elles de sont pas égales : elles diffèrent d'une constante (plus pécisément la différence entre ces deux primitives vaut 1/120).
Si on effectue le changement de variable u=sin(x) on trouvera une 3ème primitive contenant des sink(x), et si on linéarise en utilisant les formules d'Euler on trouvera une 4ème primitive différente, linéarisée dans ce dernier cas (ce qui n'est pas le cas des 3 autres primitives trouvées).
Le choix de la technique d'intégration dépendra donc de la forme désirée de la primitive. Si on veut une primitive :
Exemple 9 : quelle est la primitive de la fonction suivante ?
On a ici n et m qui sont impairs et différents.
On effectue le changement de variable suivant :
La fonction sin5(x).cos3(x) devient alors un simple polynôme en u que l'on sait intégrer :

Rappel : ce résultat n'est qu'une primitive de sin5(x).cos3(x) parmi d'autres.
Exemple 10 : quelle est la primitive de la fonction suivante ?
On a ici m=1 : il est alors inutile de partir dans une linéarisation ou un changement de variable.
En effet cette primitive est simplement de la forme :
En consultant la table des primitives on en déduit instantanément et sans linéariser que :
Il existe 4 cas différents en fonction de la parité des exposants m et n, ce qui conduit vers 4 techniques d'intégration distinctes. CAS N°1 : Si n et m sont impairs tous les deux, on pose n=2.n'+1 et m=2.m'+1, puis on effectue le changement de variable u=cos(2.x). On obtient alors un simple polynôme en u à intégrer : CAS N°2 : Si n est impair et m est pair on pose n=2.n'+1 et on effectue le changement de variable u=cos(x). On obtient alors un simple polynôme en u à intégrer : CAS N°3 : Si m est impair et n est pair on pose m=2.m'+1 et on effectue le changement de variable u=sin(x). On obtient alors un simple polynôme en u à intégrer : CAS N°4 : Si n et m sont pairs tous les deux on linéarise en partant des formules d'Euler : Enfin si n=1 ou si m=1 la fonction à intégrer est de la forme u'.un : il est alors inutile de linéariser !
|
Bien que l'on puisse linéariser pour le plaisir dans tous les cas, comme on le voit ici la linéarisation n'est indispensable que dans 25% des primitives de la forme sinn(x).cosm(x) : seulement dans le cas où n et m sont pairs. Dans les 75% restant (n ou m impair) il existe une alternative à la linéarisation : le changement de variable qui convertit la fonction sinn(x).cosm(x) en un simple polynôme en u que l'on sait intégrer.
Mais dans le cas où n et m sont pairs, il est en fait parfaitement possible de déterminer les primitives de sinn(x) et cosm(x) sans utiliser les nombres complexes ni les formules d'Euler. On utilise alors les relations trigonométriques suivantes donnant directement la forme linéarisée de sin2(x) et cos2(x) que l'on développe en les élevant à la puissance n/2 ou m/2 :
Avec n pair on a donc :
Avec m pair on a donc :
Cette technique n'est pas très rapide lorsque n ou m sont "grands", mais permet tout de même d'obtenir une primitive de sin2(x), cos2(x), sin4(x) ou cos4(x) sans utiliser les nombres complexes ni l'intégration par parties.
Dans tous les cas (avec ou sans linéarisation), le développement de (a+b)n est indispensable : le triangle de Pascal ou la formule du binôme de Newton (4 fois plus utilisé que les formules d'Euler) ne doit donc pas être très loin de la technique de linéarisation et de ses alternatives résumées ci-dessus (l'idéal étant de tout rédiger sur la même fiche mémo). Allez, tous à vos fiches bristol ! :-)
Cliquez ici pour voir comment trouver une primitive de sin2(x) par intégration par parties.
NOUVEAU : Calculez vos intégrales en ligne grâce au calculateur de primitives de Gecif.net !
L'utilisation des nombres complexes
Voyons dans ce paragraphe comment l'emploi des nombres complexes peut remplacer les techniques d'intégration classiques.
Exemple 1 : quelle est la primitive de la fonction suivante ?
S'agissant d'intégrer une fonction composée, on pourait très bien effectuer le changement de variable u=ln(x) suivi d'une double intégration par parties. Mais nous allons ici utiliser les nombres complexes qui vont nous éviter d'enchaîner ces deux techniques d'intégration classiques et nous permettre d'obtenir plus rapidement la primitive recherchée.
Remarquons tout d'abord que la formule d'Euler nous permet d'écrire :
On en déduit que sin(ln(x)) est la partie imaginaire du nombre complexe xi :
Sachant que la primitive d'une partie imaginaire est égale à la partie imaginaire de la primitive on a :
La primitive de sin(ln(x)) n'est autre que la partie imaginaire du nombre complexe xi+1/(i+1).
Nous devons maintenant décomposer le nombre complexe xi+1/(i+1) en partie réelle et partie imaginaire :
On en déduit la primitive de sin(ln(x)) qui est la partie imaginaire du nombre complexe ci-dessus :
Et pour le même prix nous venons d'obtenir en même temps la primitive de cos(ln(x)) ! En effet, sachant que :
La partie réelle du nombre complexe ci-dessus est la primitive de cos(ln(x)) :
A retenir : la décomposition en partie réelle et partie imaginaire a remplacé ici un changement de variable suivi d'une double intégration par parties, procédure qu'il aurait fallu faire 2 fois puisque nous venons de trouver simultanément 2 primitives. Bien utilisés, les nombres complexes sont donc plus rapides que les techniques d'intégration classiques (changement de variable et intégration par parties).
Exemple 2 : sachant que d'après la formule d'Euler on a :
Quelles sont les deux primitives suivantes ?
Commençons par calculer cette primitive :
Les deux primitives recherchées sont donc les parties réelle et imaginaire de ce nombre complexe :
Décomposons ce nombre complexe en partie réelle et partie imaginaire :

On en déduit les deux primitives recherchées :
Cliquez ici pour voir un autre exemple de calcul de primitive en utilisant les nombres complexes.
NOUVEAU : Version PDF à imprimer avec de nombreux autres exemples d'intégrales !
Utilisation de plusieurs techniques pour la même intégrale
Voyons dans ce paragraphe des exemples d'intégrales et de calcul de primitives nécessitant l'emploi de plusieurs techniques d'intégration.
Exemple 1 : quelle est la primitive de la fonction suivante ?
Il s'agit ici de déterminer la primitive d'une fonction composée f(g(x)) : nous effectuons donc "classiquement" le changement de variable u=g(x).
Pour calculer cette primtive nous allons enchaîner 2 techniques :
Effectuons le changement de variable suivant :
Après ce changement de variable l'intégrale prend une forme classique qui se calcule par intégration par parties :
Procédons à une double intégration par parties, en intégrant eu à chaque fois :
On en déduit que :
Rappel :
Et en revenant à la variable x nous obtenons :
Exemple 2 : quelle est la primitive de la fonction suivante ?
Oublions d'entrée la linéarisation et l'intégration par parties. Il s'agit ici d'intégrer une fraction rationnelle en sinus et cosinus.
Nous allons pour cela enchaîner 2 techniques :
Mais commençons par ré-écrire la fonction à intégrer :

Effectuons le changement de variable u=cos(x) dont la conséquence est :
On obtient :

Nous devons donc maintenant trouver la primitive de la fraction rationnelle suivante :
Appelons R(x) la fraction rationnelle à intégrer : R(x)=P(x)/Q(x)
On remarque que le polynôme Q(x) peut se factoriser par x : Q(x)=x3-2.x2+2.x=x.(x2-2.x+2)
De plus le polynôme x2-2.x+2 n'a pas de racines réelles puisque son discriminent delta est négatif.
Les 3 pôles de R(x) sont donc 0 et deux nombres complexes conjugués.
Nous allons commencer par décomposer en éléments simples la fraction rationnelle R(x) :
Comme le degré du numérateur est supérieur ou égal au degré du dénominateur il y a une partie entière à déterminer.
Comme le degré du numérateur est égal au degré du dénominateur la partie entière est une constante.
Enfin, comme les coefficients des monômes de plus haut degré sont égaux, la partie entière vaut 1.
Nous avons donc :
Il nous faut maintenant décomposer en éléments simples la fraction rationnelle f(x) suivante :
Comme nous l'avons déjà remarqué, le dénominateur de f(x) peut se factoriser par x. La décomposition en éléments simples de f(x) sera donc de la forme suivante :
Il nous faut maintenant déterminer la valeur des 3 constantes a, b et c :
Nous obtenons donc la décomposition en éléments simples suivante pour la fraction rationnelle R(x) :
En remarquant que la dérivée de x2-2.x+2 est 2.(x-1) nous obtenons une primitive de R(x) :
Remarque : le polynôme x2-2.x+2 n'ayant pas de racines réelles, il est toujours du signe du coefficient du monôme de plus haut degré, c'est-à-dire positif. Cela explique l'absence du symbole valeur absolue dans le logarithme népérien de x2-2.x+2.
Et on en déduit finalement que :
Exemple 3 : quelle est la primitive de la fonction suivante ?
Il s'agit ici d'intégrer une fonction composée f(g(x)), mais pour une fois nous n'allons pas faire le changement de variable u=g(x).
Le calcul de cette primitive se déroulera en deux étapes :
Commençons donc par mettre sous forme canonique le polynôme du dénominateur :
On en déduit que :
Ceci conduit à effectuer le changement de variable suivant :
On obtient :
Et en revenant à la variable x nous obtenons la primitive recherchée :
Remarque : l'écriture sous forme canonique du polynôme du dénominateur est ici fondamentale puisque c'est elle qui nous a conduit à effectuer le bon changement de variable.
NOUVEAU ! Trouvez rapidement une intégrale particulière grâce au moteur de recherche d'intégrales !
Exemple 4 : quelle est la primitive de la fonction suivante ?
Nous allons ici enchaîner 3 techniques :
Commençons par un premier changement de variable u=ex, soit du=ex.dx :
Nous obtenons alors une fraction rationnelle en u qu'il faut décomposer en éléments simples.
En remarquant que u2+1=(u2+u+2)-(u+1) on a directement :
D'où :
L'écriture canonique du dénominateur nous donne :
Nous pouvons donc maintenant écrire :
Effectuons un second changement de variable :
En utilisant l'écriture canonique du dénominateur on obtient :
Et en revenant à la variable x nous obtenons la primitive recherchée :
Remarque : l'écriture sous forme canonique du polynôme du dénominateur est une étape fondamentale puisque c'est elle qui nous a conduit à effectuer le second changement de variable.
Exemple 5 : quelle est la primitive de la fonction suivante ?
Nous allons ici enchaîner 2 techniques :
Commençons par ré-écrire la fonction d'origine en divisant pas racine carrée de (cos(x)) :
Effectuons le changement de variable suivant :
Remarque : pour simplifier l'expression de dx nous venons d'utiliser la relation trigonométrique suivante :
Après ce changement de variable, qui a eu pour effet de faire "disparaître" toutes les racines carrées, l'intégrale d'origine devient :
Le problème est maintenant d'intégrer une fraction rationnelle en u. La décomposition en éléments simples donne :
Il nous faut donc trouver la primitive de chacune des 4 fractions. Voici ces primitives :
Il ne reste plus qu'à revenir à la variable x en remplaçant u par racine carrée de (tan(x)) dans chacune des 4 primitives ci-dessus puis d'en faire la somme.
Exemple 6 : quelle est la primitive de la fonction suivante ?
Nous allons ici enchaîner 2 techniques :
Il s'agit ici d'intégrer une fraction rationnelle en sin(x) et cos(x). La méthode consiste à effectuer "le bon" changement de variable afin que la fonction d'origine se transforme en une simple fraction rationnelle en u que l'on sait intégrer. Mais comment trouver "le bon changement de variable" ?
Il faut commencer par essayer les changements de variable "classiques" suivants (voir la règle de Bioche) :
Si aucun de ces changements de variable ne donne une fraction rationnelle simple (sans racines carrées) en u, alors on peut toujours effectuer le changement de variable u=tan(x/2) qui convertira la fraction rationnelle en sin(x) et cos(x) en une fraction rationnelle en u.
Ici aucun changement de variable simple ne donne une fraction rationnelle en u, nous effectuons donc le changement de variable u=tan(x/2).
Effectuons le changement de variable suivant dont les conséquences sont :
Rappel de trigonométrie : pour tout x réel on a sin(2.arctan(x)) = (2.x)/(1+x²) et cos(2.arctan(x)) = (1-x²)/(1+x²)
Après ce changement de variable l'intégrale d'origine devient :
Le changement de variable a eu pour effet de convertir la fraction rationnelle d'origine (en sin(x) et cos(x)) en une fraction rationnelle en u.
Remarque : le dénominateur est factorisable comme ceci :
Le problème est maintenant d'intégrer cette fraction rationnelle en u. Vue la factorisation du dénominateur, la décomposition en éléments simples donne :
Il nous faut donc trouver la primitive de chacune des 2 fractions. Voici ces primitives :
Il ne reste plus qu'à revenir à la variable x en remplaçant u par tan(x/2) dans chacune des 2 primitives ci-dessus puis d'en faire la somme.
Exemple 7 : quelle est la primitive de la fonction suivante ?
La réponse est immédiate en consultant la table des primitives :
Maintenant quelle est la primitive de la fonction suivante :
Grâce à un changement de variable nous allons nous ramener au cas précédent (sans le x au dénominateur).
Le calcul de cette primitive se déroulera en deux étapes :
Commençons donc par mettre sous forme canonique le polynôme du dénominateur :
On en déduit que :
Ceci conduit à effectuer le changement de variable suivant :
Ce qui nous conduit à la primitive recherchée :
Remarque : l'écriture sous forme canonique du polynôme du dénominateur est ici fondamentale puisque c'est elle qui nous a conduit à effectuer le bon changement de variable.
Exemple d'application numérique :
A voir aussi : une primitive similaire est traitée en haut de cette page, mais par identification :
Exemple 8 : quelle est la valeur numérique exacte de l'intégrale I suivante ?
Nous allons ici enchaîner 3 techniques :
NOUVEAU : Calculez vos intégrales en ligne grâce au calculateur de primitives de Gecif.net !
Exercices supplémentaires pour vous entraîner :
Voici 10 fiches d'exercices ou de devoirs surveillés en PDF, de différents niveaux, afin de vous entraîner au calcul de primitives et d'intégrales. Certaines fiches contiennent des rappels de cours, des indications ou des corrections.
Fiche 1 Fiche 2 Fiche 3 Correction de la fiche 3 Fiche 4 Fiche 5 Fiche 6 Fiche 7 Fiche 8 Fiche 9 Fiche 10 NOUVEAU ! Télécharger la fiche pratique "Quelle méthode d'intégration dois-je appliquer à ma fonction ?"
NOUVEAU ! Télécharger le document "Exemples détaillés de calculs de primitives et d'intégrales"
Voici encore plus de 50 primitives ou intégrales à calculer pour vous entraîner. La plupart des intégrales exposées ici sont généralement tirées de sujets d'interrogations écrites (devoir maison ou devoir surveillé) ou de sujets d'examens.
Calcul de primitives :
Recherchez chacune des primitives F(x) suivantes en utilisant la ou les techniques d'intégration les plus appropriées à la fonction à intégrer :
![]() |
![]() |
|
![]() |
![]() |
|
![]() |
![]() |
|
![]() |
![]() |
|
![]() |
![]() |
|
![]() |
![]() |
|
![]() |
![]() |
|
![]() |
![]() |
|
![]() |
![]() |
|
![]() |
![]() |
|
![]() |
![]() |
|
![]() |
![]() |
|
![]() |
![]() |
|
![]() |
![]() |
|
![]() |
![]() |
|
![]() |
![]() |
|
![]() |
![]() |
|
![]() |
![]() |
|
![]() |
![]() |
|
![]() |
![]() |
|
NOUVEAU : Version PDF à imprimer avec de nombreux autres exemples d'intégrales !
Calcul de la valeur numérique d'une intégrale :
Calculez la valeur numérique de chacune des intégrales suivantes en utilisant la ou les techniques d'intégration les plus appropriées à la fonction à intégrer :
![]() |
![]() |
|
![]() |
![]() |
|
![]() |
![]() |
|
![]() |
![]() |
|
![]() |
![]() |
|
![]() |
![]() |
|
![]() |
![]() |
|
![]() |
![]() |
|
![]() |
![]() |
|
![]() |
![]() |
|
NOUVEAU : Révisez les dérivées et les primitives en vous amusant grâce au QCM de Gecif.net !
Calcul de primitives en fonction d'un paramètre a :
Recherchez chacune des primitives F(x,a) suivantes en fonction de la constante a (ou des constantes a et b) :
![]() |
![]() |
|
![]() |
![]() |
|
NOUVEAU : Calculez vos intégrales en ligne grâce au calculateur de primitives de Gecif.net !
Calcul d'intégrales en fonction d'un paramètre a :
Donnez la valeur de chacune des intégrales I(a) suivantes en fonction de la constante a :
![]() |
![]() |
|
![]() |
![]() |
|
NOUVEAU : Version PDF à imprimer avec de nombreux autres exemples d'intégrales !