Dérivées et primitives des 24 fonctions trigonométriques

Introduction 

Cet article expose les fonctions trigonométriques circulaires, hyperboliques, directes et réciproques (24 fonctions au total), avec l'ensemble de définition, la dérivée et la primitive de chacune d'entres elles.

Comme pour tous les articles mathématiques du site Gecif.net la vulgarisation mathématique permet ici d'expliquer avec des mots et des notions simples (de niveau BAC) des résultats qui demandent en principe un niveau bien supérieur.

Sommaire de cette page

   Les relations de base entre les fonctions trigonométriques

   Les 6 fonctions trigonométriques circulaires directes :

   Les 6 fonctions trigonométriques circulaires réciproques :

   Les 6 fonctions trigonométriques hyperboliques directes :

   Les 6 fonctions trigonométriques hyperboliques réciproques :

 

Retour en haut de la page

Les relations de base entre les fonctions trigonométriques

Les 3 fonctions de base sont le sinus, le cosinus et la tangente.

La cotangente, la sécante et la cosécante ne sont que les fonctions inverses des 3 fonctions de base :
    - la cotangente est l'inverse de la tangente
    - la cosécante est l'inverse du sinus
    - la sécante est l'inverse du cosinus
et ce, aussi bien en version circulaire qu'hyperbolique comme indiqué dans le tableau suivant :

Fonctions circulaires
Fonctions hyperbolques

Sachant que le rapport du sinus sur le cosinus est égal à la tangente, on en déduit les relations suivantes :

Fonctions circulaires
Fonctions hyperbolques

On remarque dans le tableau précédent une des utilités de la sécante et de la cosécante :

Dans certains cas l'emploi des fonctions sécante et cosécante permet d'éviter les fractions, ce qui est particulièrement utile pour le calcul de dérivées ou de primitives par exemple.

 

Retour en haut de la page

 

Nom et ensemble de définition des 24 fonctions trigonométriques 

Ce paragraphe indique le nom complet, le symbole mathématique, et l'ensemble de définition de chacune des 24 fonctions trigonométriques.

Bien que certaines fonctions puissent parfois être identifiées par plusieurs noms différents (ex : sh ou sinh pour le sinus hyperbolique, tg ou tan pour la tangente, arcsin ou sin-1 pour la fonction réciproque du sinus circulaire, etc.) nous adopterons ici les 24 noms explicites et non ambigüs indiqués dans les tableaux ci-dessous.

3 remarques sur les noms des fonctions :
    - Le suffixe h désigne une fonction hyperbolique
    - Le préfixe arc désigne une fonction circulaire réciproque
    - Le préfixe arg désigne une fonction hyperbolique réciproque

 

Les 6 fonctions trigonométriques circulaires directes :

Nom complet
Fonction
Ensemble de définition
sinus circulaire de x
cosinus circulaire de x
tangente circulaire de x
cotangente circulaire de x
sécante circulaire de x
cosécante circulaire de x

Explications concernant les ensembles de définition :

Or :

Donc :

 

Retour en haut de la page

 

Les 6 fonctions trigonométriques circulaires réciproques :

Nom complet
Fonction
Ensemble de définition
arc sinus circulaire de x
(fonction réciproque de sin(x))
arc cosinus circulaire de x
(fonction réciproque de cos(x))
arc tangente circulaire de x
(fonction réciproque de tan(x))
arc cotangente circulaire de x
(fonction réciproque de cotan(x))
arc sécante circulaire de x
(fonction réciproque de sec(x))
arc cosécante circulaire de x
(fonction réciproque de cosec(x))

Explications concernant les ensembles de définition :

 

Retour en haut de la page

 

Les 6 fonctions trigonométriques hyperboliques directes :

Nom complet
Fonction
Ensemble de définition
sinus hyperbolique de x
cosinus hyperbolique de x
tangente hyperbolique de x
cotangente hyperbolique de x
sécante hyperbolique de x
cosécante hyperbolique de x

Explications concernant les ensembles de définition :

Or :

Donc :

 

Retour en haut de la page

 

Les 6 fonctions trigonométriques hyperboliques réciproques :

Nom complet
Fonction
Ensemble de définition
argument sinus hyperbolique de x
(fonction réciproque de sinh(x))
argument cosinus hyperbolique de x
(fonction réciproque de cosh(x))
argument tangente hyperbolique de x
(fonction réciproque de tanh(x))
argument cotangente hyperbolique de x
(fonction réciproque de cotanh(x))
argument sécante hyperbolique de x
(fonction réciproque de sech(x))
argument cosécante hyperbolique de x
(fonction réciproque de cosech(x))

Explications concernant les ensembles de définition :

 

Retour en haut de la page

 

Dérivées et primitives des 24 fonctions trigonométriques 

Les tableaux suivants donnent la dérivée et une primitive pour chacune des 24 fonctions trigonométriques.

Utilisation de ces tableaux :

Vous l'avez compris, les tableaux ci-dessous vous offrent :

Remarque au sujet des primitives :

Pour obtenir l'ensemble des primitives d'une fonction il faut ajouter une constante k (volontairement pas indiquée dans les tableaux) à la primitive donnée. Pour certaines fonctions il existe d'autres primitives qui s'écrivent différemment de celle donnée ici : la primitive n'est pas toujours unique, et peut parfois s'écrire sous une autre forme (c'est le cas notamment pour les primitives de sec(x) et de cosec(x)).

Les tableaux ci-dessous vous donnent donc une seule primitive parmi d'autres.

 

Dérivées et primitives des 6 fonctions circulaires directes : 

Primitive de f(x)
Fonction f(x)
Dérivée de f(x)

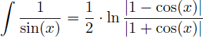
Démonstration de la primitive de cosec(x) et de sec(x) en utilisant le changement de variable

On recherche la primitive F(x) de cosec(x)=1/sin(x) :

On effectue le changement de variable u=cos(x) :

Après ce changement de variable la primitive F(x) recherchée devient :

On en déduit la primitive de cosec(x), c'est-à-dire la primitive de 1/sin(x) :

La procédure est la même pour trouver la primitive de la sécante, en posant cette fois comme changement de variable u=-sin(x). On en déduit alors la primitive de sec(x), c'est-à-dire la primitive de 1/cos(x) :

Retour en haut de la page

 

Dérivées et primitives des 6 fonctions circulaires réciproques : 

Primitive de f(x)
Fonction f(x)
Dérivée de f(x)

Démonstration de la primitive de arctan(x) et de arcsin(x) en utilisant l'intégration par parties

Retour en haut de la page

 

Dérivées et primitives des 6 fonctions hyperboliques directes : 

Primitive de f(x)
Fonction f(x)
Dérivée de f(x)

 

Retour en haut de la page

 

Dérivées et primitives des 6 fonctions hyperboliques réciproques : 

Primitive de f(x)
Fonction f(x)
Dérivée de f(x)

Les 6 primitives se retrouvent en utilisant l'intégration par parties

Démonstration de la dérivée de argcosech(x) :

Soit f une fonction. Notons :

Rappel :

f(fR(x))=fR(f(x))=x

La relation suivante nous donne la dérivée de la fonction réciproque d'une fonction f :

Ce que l'on écrira :

Si fR = argcosech(x) alors :

Il vient alors :

Or cosech(argcosech(x))=x, donc :

Décomposons argcosech(x) en utilisant certaines relations trigonométriques :

Rappel :

Décomposons cotanh(u) en utilisant certaines relations trigonométriques :

Il vient alors :

Nous venons de démontrer que :

Et on en déduit finalement la dérivée de argcosech(x) :

C.Q.F.D.

Remarque : en procédant de la même manière il est possible de retrouver la dérivée de la fonction argsech(x).

Retour en haut de la page