Le nombre d'or
Introduction
J'ai réuni sur cette page un certain nombre de propriétés algébriques du nombre d'or, qui intéresseront le mathématicien, sans particulièrement m'attarder sur les propriétés artistiques, ce dernier critère n'ayant pour moi rien de scientifique.
S'il fallait donner une seule définition
pour le nombre d'or, en tant que scientifique cartésien, je donnerais la définition
suivante : le nombre d'or, noté
,
est la solution positive de l'équation algébrique x²-x-1=0 (ou la racine positive du polynôme x²-x-1).
Le nombre d'or est donc avant tout pour le mathématicien un nombre réel algébrique, parmi tous les autres. On lui a malheureusement collé une étiquette dépréciative en accumulant des préjugés subjectifs et irrationnels, allant même jusqu'à le qualifier de "mythe". Cela a conduit les principaux intéressés, à savoir les spécialistes des mathématiques pures, à totalement s'en désintéresser. Mais si on s'intéresse de près aux propriétés algébriques du nombre d'or, on s'aperçoit qu'il s'agit d'une constante universelle très importante... aussi fondamentale que Pi ! Mais qu'est ce qui différencie ce réel de tous les autres ? Et pourquoi le nombre d'or est-il autant extraordinaire que le nombre Pi ? Vous trouverez des éléments de réponse sur cette page.
Nouveau ! Retrouvez les 100 000 premières décimales du nombre d'or
La valeur exacte du nombre d'or est :

Valeur décimale du nombre d'or :
=
1,61803398874989484820458683436563811 ...
Et voici deux valeurs approchées du nombre d'or, faciles à retenir :
![]()
![]()
A ne pas confondre avec 355/113 qui est une valeur approchée de ... Pi :
![]()
![]()
Le nombre d'or est égal à la plus simple des fractions continues régulières :
On en déduit que :
![]()
Une suite de Fibonacci est une suite de nombres où chaque terme est égal à la somme des deux termes précédent.
Si on appelle Fn le terme de rang n d'une suite de Fibonacci, on a :
Une suite de Fibonacci est parfaitement définie si on indique la valeur des 2 premiers termes : F1 et F2. On peut alors calculer tous les autres termes.
Si F1 = F2 = 1 on obtient la suite des nombres de Finonacci :
F1 = 1
F2 = 1
F3 = 2
F4 = 3
F5 = 5
F6 = 8
F7 = 13
F8 = 21
F9 = 34
F10 = 55
etc ...
Examinons le rapport de 2 termes consécutifs de cette suite de Fibonacci :
F2 / F1 = 1 < ![]()
F3 / F2 = 2 > ![]()
F4 / F3 = 1,5 < ![]()
F5 / F4 = 1,666 > ![]()
F6 / F5 = 1,600 < ![]()
F7 / F6 = 1,625 > ![]()
F8 / F7 = 1,615 < ![]()
F9 / F8 = 1,619 > ![]()
F10 / F9 = 1,617 < ![]()
On remarque que le rapport de deux termes consécutifs est alternativement inférieur et supérieur au nombre d'or. Ce rapport tend vers le nombre d'or lorsque le rang des termes tend vers l'infinie :
![]()
Propriétés algébriques du nombre d'or :
Le nombre d'or est le seul réel positif possédant les deux propriétés suivantes :
On en déduit que :
etc ...
On
peut remarquer que les nombres en gras forment deux suites de Fibonacci. Nous
pouvons donc écrire une nouvelle relation liant le nombre d'or
et
les nombres de Fibonacci Fn :
![]()
Nombre d'or et nombres de Fibonacci :
On vient de voir comment les nombres de Fibonacci Fn permettent de calculer la valeur du nombre d'or, élevée à une puissance n. Mais inversement, le nombre d'or peut nous aider à calculer un terme quelconque Fn de la suite de Fibonacci.
est la racine positive du polynôme x²-x-1.
Appelons
la racine négative de x²-x-1
:
et

Le réel
est le nombre d'or, il vaut 1.618
Le réel
est "le conjugué" du nombre d'or, il vaut -0.618
Propriétés des deux
racines
et
du polynôme x²-x-1 :
![]()
![]()
![]()
Grâce à
et
il est
possible de calculer un terme quelconque Fn de
la suite de Fibonacci, sans calculer tous les termes précédents de Fn
:

Rappel : F1 = F2 = 1
Autres expressions de
:
![]()

Lien entre le nombre d'or et la suite de Fibonacci
![]()
Nombres de Fibonacci et triangle de Pascal :

Triangle isocèle de Pascal (représentation classique)
On obtient également les nombres de Fibonacci en additionnant les termes sur les diagonales du triangle de Pascal :
| 1 | 1 | 2 | p=4 | p=5 | p=6 | p=7 | p=8 | n=0 | |
| 1 | 1 | 3 | 5 | n=1 | |||||
| 1 | 2 | 1 | 8 | 13 | n=2 | ||||
| 1 | 3 | 3 | 1 | 21 | 34 | n=3 | |||
| 1 | 4 | 6 | 4 | 1 | 55 | 89 | n=4 | ||
| 1 | 5 | 10 | 10 | 5 | 1 | 144 | 233 | n=5 | |
| 1 | 6 | 15 | 20 | 15 | 6 | 1 | 377 | 610 | |
| 1 | 7 | 21 | 35 | 35 | 21 | 7 | 1 | 987 | 1597 |
| 1 | 8 | 28 | 56 | 70 | 56 | 28 | 8 | 1 | 2584 |
| 1 | 9 | 36 | 84 | 126 | 126 | 84 | 36 | 9 | 1 |
Triangle rectangle de Pascal
Dans ce tableau, les nombres écrits en petit représentent le triangle de Pascal, dans lequel chaque élément est égal à la somme de deux autres éléments selon la règle suivante :
L'élément de la ligne L et de la colonne C est obtenu en additionnant l'élément de la lignes L-1 et de la colonne C avec l'élément de la ligne L-1 et de la colonne C-1
Exemple : l'élément sur la 7ème ligne et la 3ème colonne est le nombre 15. Il est obtenu en additionnant le 10 (6ème ligne et 3ème colonne) avec le 5 (6ème ligne et 2ème colonne).
La première colonne du triangle de Pascal ne contient que des 1, et chaque ligne finit par un 1.
Les nombres en gras dans ce tableau sont obtenus en additionnant la diagonale du triangle de Pascal portant la même couleur que le nombre. Par exemple, le 21 rouge en gras est égal à 4+10+6+1 (diagonale rouge du 21). Cette diagonale est la 8ème diagonale du triangle de Pascal, et 21 est le 8ème nombre de Fibonacci : 21 = F8.
On remarque que l'ensemble des nombres en gras représente la suite des nombres de Fibonacci, les deux premiers éléments de cette suite étant 1 et 1, et chaque terme de cette suite est égal à la somme des deux termes précédents.
Si on note n le numéro des lignes
du triangle de Pascal (n=0 pour la première ligne du haut) et p le numéro des
colonnes (avec p=0 pour la première colonne à gauche), alors chaque élément
du triangle de Pascal est égal au nombre ![]()
En analyse combinatoire, le nombre
peut être interprété de la manière suivante :
Dans un ensemble à n éléments, il
est possible de réaliser
groupes de p éléments chacun, l'ordre dans les groupes n'ayant aucune importance.
Le
nombre
peut aussi être calculé par la relation
.
On remarque que
est égal au nombre d'arrangements (nombre de groupes possibles de p éléments
pris dans un ensembles de n éléments, en tenant compte de l'ordre des éléments
dans les groupes) divisé par factorielle de p.
Et les nombres de Fibonacci dans
tout ça ? Comme le nombre de Fibonacci Fn est égal à la somme de
plusieurs éléments du triangle de Pascal, et comme chaque élément du triangle
est un
,
alors on peut exprimer le nombre de Fibonacci Fn comme étant la somme
de plusieurs
:

Cette expression de Fn représente la somme des éléments d'une diagonale du triangle de Pascal.
Et si vous voulez obtenir
une expression de Fn utilisant la fonction factorielle, il suffit
de développer chaque
,
ce qui donne :

Dans cette expression, on arrêtes le nombre de termes lorsque la différence n-k (au numérateur ou au dénominateur) devient strictement négative. Exemple pour F6 : il y aura seulement 3 termes, car n-7 (dans le quatrième terme) est négatif pour n=6. On peut en effet vérifier dans le triangle de Pascal, que la diagonale qui a permis de calculer le 8 (c'est à dire F6) a exactement 3 éléments (3+4+1).
Remarque (ou rappel, au choix) à propos des indices :
Dans le triangle de Pascal, les numéros des lignes et des colonnes (n et p) commencent à 0. Mais dans la suite des nombres de Fibonacci, j'appelle F1 le premier terme (et non F0). Dans toute cette page, les deux premiers termes de la suite de Fibonaci sont F1=F2=1 et F0 n'existe pas pour moi (ou bien prenez F0=0, ce qui ne change rien à la suite de Fibonacci). L'important n'est pas de faire forcément comme tout le monde, mais c'est de savoir de quoi on parle et d'être, comme je l'ai été sur cette page, cohérent avec ce que l'on dit.
![]()
Tour de magie utilisant les propriétés des suites de Fibonacci :
Les propriétés exceptionnelles (mais pas encore toutes connues aujourd'hui) des suites de Fibonacci sont souvent utilisées en magie par les calculateurs prodiges. Je vais vous livrer maintenant un exemple de tour de magie utilisant une propriété étonnante des suites de Fibonacci :
Un effet de calcul ultra-rapide, très peu connu et utilisé par les calculateurs prodiges consiste à additionner presque instantanément les dix nombres d'une suite de Fibonacci (c'est-à-dire une suite de nombres dans laquelle chaque nombre est la somme des deux précédents). Cet effet peut se présenter de la manière suivante :
Le magicien demande à un spectateur de choisir deux chiffres, peu importe lesquels. Admettons qu'il choisisse 8 et 5. Il écrit ces deux chiffres l'un en dessous de l'autre dans l'ordre qu'il désire, puis les additionne de manière à en obtenir un troisième. Ce troisième nombre est lui-même ajouté au nombre précédent pour en obtenir un quatrième, et ainsi de suite jusqu'à ce que le spectateur ait obtenu une colonne de dix nombres. S'il le désire, le spectateur peut s'aider d'une calculatrice :
8
5
13
18
31
49
80
129
209
338
Pendant que le spectateur écrit ces nombres, le magicien a le dos tourné. Une fois que les dix nombres ont été inscrits, il refait face au spectateur, trace une ligne sous la colonne, et écrit instantanément la somme des dix nombres !
Explication : pour obtenir la somme des dix nombres, prenez simplement le nombre qui se trouve en 4ème position à partir du bas de la colonne, et multipliez-le par 11, une opération qu'il est facile de faire de tête. Dans notre exemple, le nombre à multiplier est 80 ; par conséquent, la somme des dix nombres est égale à 880, c'est-à-dire 80 fois 11.
La propriété des suites de Fibonacci utilisée dans ce tour de magie peut s'écrire ainsi :

Il faut remarquer que cette propriété reste vraie quels que soient les deux premiers termes F1 et F2 de la suite : ça marche pour la suite de Fibonacci traditionnelle (F1=F2=1), mais ça marche aussi pour toutes les autres suites de Fibonacci, où les deux premiers termes sont choisis au hasard, par un spectateur par exemple.
Pour multiplier un nombre par 11, 101, 1 001, etc., on le multiplié naturellement par 10, 100, 1 000, etc., et l'on ajoute le nombre au résultat.
Exemple: 632 X 101
632 x 100 = 63 200
63 200 + 632 = 63 832.
Exemple: 14 x 11
140 + 14
Résultat 154
Mais il existe une autre technique, bien plus ingénieuse, pour multiplier un nombre par 11. On effectue très rapidement une multiplication par 11 en additionnant successivement, à partir de la droite, les chiffres significatifs du multiplicande.
Exemple: 14 x 11
Les unités du résultat valent 4 (comme le multiplicande)
4 + 1 = 5
Comme l'addition précédente n'a pas générée de retenue, les centaines du résultats sont égales aux centaines du multiplicande, soit 1
Résultat 154
Autre exemple : 3 789 x 11
9 + 8 = 17 ; 1 (retenue) + 8 + 7 = 16 ; 1 (retenue) + 7 + 3 = 11 ; 1 (retenue) + 3 = 4.
Résultat : 41 679
Cette technique pour multiplier par 11 est utilisée par les calculateurs prodiges dans certains tours de magie. Avec un peu d'habitude, cette méthode permet de réaliser des multiplications par 11 instantanément (le temps d'écriture du résultat est égal au temps de calcul).
![]()
Le nombre d'or aime les racines carrées :
Comme
, on a
,
et
par récurrence on obtient :
Donc si vous savez calculer la racine carrée de 1, vous savez calculer la valeur du nombre d'or !! :-))
![]()
Le nombre d'or en trigonométrie :
En trigonométrie, on retrouve souvent le nombre d'or dans les expressions des Sinus, Cosinus, et Tangente des angles multiples de Pi/5 et Pi/10.
On a par exemple :
![]()
![]()
Lien entre le nombre d'or et les fonctions trigonométriques hyperboliques :

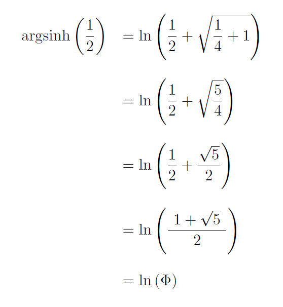
Démonstration :
Sachant que la fonction argument sinus hyperbolique est égale à :

On en déduit la valeur de argsinh(1/2) en fonction du nombre d'or :

Et en prenant le sinus hyperbolique de chaque membre de l'égalité précédente on obtient :

Ce qui nous permet de déduire une nouvelle expression du nombre d'or à l'aide des fonctions exponentielle et argument sinus hyperbolique :

![]()
Lien entre le nombre d'or et Pi :
En remplaçant dans les expressions précédentes 1/2 par sin(π/6) ou par cos(π/3) on obtient des relations liant le nombre d'or et le nombre π :

Voici une autre relation entre le nombre d'or Phi et le nombre Pi=3.141592... :

![]()
Le nombre d'or dans l'ensemble de Mandelbrot :
Le nombre d'or est présent dans beaucoup d'objets que la nature a construit au cours du temps, comme par exemple dans la disposition des feuilles sur la tige d'une plante, dans l'organisation du cœur des fleurs de tournesol, dans la disposition des pétales de la pomme de pin, dans les étoiles de mer à 5 branches, ou encore dans les spirales formées par l'écorce des ananas.
Mais on le retrouve également dans un objet tout aussi naturel et délicieux qu'un fruit, et bien plus beau que l'écorce de l'ananas, je veux bien sûr parler de l'ensemble de Mandelbrot. Oui, toute la structure de l'ensemble de Mandelbrot est construite autour du nombre d'or. Si vous voulez savoir comment retrouver le nombre d'or dans l'ensemble de Mandelbrot, cliquez ici.
![]()
Nouveau ! Retrouvez les 100 000 premières décimales du nombre d'or